液化氣流量計
- 品*:JKM/凱銘儀表
- 型號:JKM-LUGB
- 測量范圍:5-11000m3/h
- 精度等級:1.5級、1.0級
- 公稱通徑:DN20~DN1200
- 適用介質:氣體、液體、蒸汽
- 工作壓力:1.6MPa~10MPa
- 工作溫度:-80℃~450℃
- 供電方式:24VDC 鋰電池
- 訂貨號:GBD452759DEP
液化氣流量計的概述及特性
1、渦街流量計的概述
渦街流量計也稱為Vortex流量計。它的原理如同迎風飄揚的“旗幟”。空氣(流體)的流動受旗桿(渦旋產生體)作用分別在旗幟兩邊形成兩股渦旋氣流,由于每股氣流產生渦旋的間隔相等和兩邊的渦旋交叉產生使旗幟迎風舞動。風速越大,產生渦旋的頻率越高,使旗幟舞動越快;風速小,旗幟舞動慢。渦街流量計就是利用測量旋渦產生的頻率或相應的物理量來獲得被測流體的流量。
2、渦街流量計的特性
渦街流量計能按照卡爾曼渦街原理測量粘度很小的液體、氣體和蒸汽的體積流量。形成渦街的前提條件是管道中的流動流體必須處于紊流狀態。它的主要特點如下。
1)測量結果與被測介質類型無關。渦旋分離頻率與被測介質的類型無關。1m3液體與1m3氣體或蒸汽所產生的測量脈沖同樣多。從而可以看出,渦街流量計是一種通用的流量測量裝置。
2)量程范圍大。該流量計可在氣體100:1、液體50:1的動態范圍內達到很高的精度。在上、下限量程處的測量具有同樣的精度。
3)測量結果與壓力、溫度、密度和粘度的變化無關。
4)具有較高的測量精度。采用計算機控制把k因子曲線(非線性曲線)存入計算機,而后根據不同的狀況調用相應的k因子值(儀表系數)對測量結果進行自動補償。在T型渦旋產生體中,雷諾系數與k因子關系成S形曲線,在Re〉5000時由于非線性關系會使產生的示值相對測量誤差高達7.5%。因此,需要對雷諾系數進行分段線性化,即把5000〈Re〈30000范圍劃分成兩個區域5000~20000和20000~30000.這樣使示值相對測量誤差達到1%~2%。
5)價格適中。采用精密的澆鑄技術使機加工和焊接費用下降,從而渦街流量計價格也明顯降低。
6)使用壽命長。
7)改善了小流量測量性能。把自適應濾波器技術與小流量自動切換技術相結合可改善小流量時的測量性能,還能抗過程噪聲的干擾。
8)維護成本低。
9)選擇多樣性:適配的管道直徑從DN15到DN300;接口形式有法蘭式、嵌入式和衛生式;測量管道可選精密澆鑄管道或不銹鋼管道;測量管道和變送器的結構有一體式和分體式2種;還有冗余雙測量系統的裝置。
液化氣流量計的工作原理
在流體中設置非流線型旋渦發生體(阻流體),則從旋渦發生體兩側交替地產生兩列有規則的旋渦,這種旋渦稱為卡曼渦街,如圖(一)所示。

旋渦列在旋渦發生體下游非對稱地排列。設旋渦的發生頻率為f,被測介質來流的平均速度為V,旋渦發生體迎流面寬度為d,表體通徑為D,根據卡曼渦街原理,有如下關系式:
f=StV/d 公式(1)
式中:
f-發生體一側產生的卡門旋渦頻率
St-斯特羅哈爾數(無量綱數)
V-流體的平均流速
d-旋渦發生體的寬度
由此可見,通過測量卡門渦街分離頻率便可算出瞬時流量。其中,斯特羅哈爾數(St)是無因次未知數,
圖(二)表示斯特羅哈爾數(St)與雷諾數(Re)的關系。

在曲線表中St=0.17的平直部分,漩渦的釋放頻率與流速成正比,即為渦街流量計傳感器測量范圍度。只要檢測出頻率f就可以求得管內流體的流速,由流速V求出體積流量。所測得的脈沖數與體積量之比,稱為儀表常數(K),見式(2)
K=N/Q(1/m3) 公式(2)
式中:K=儀表常數(1/m3)。
N=脈沖個數
Q=體積流量(m3)
液化氣流量計主要技術指標
公稱通徑(mm):25,40,50,65,80,100,125,150,200,250,300,(300~1000插入式)
公稱壓力(MPa):DN25-DN200 4.0(>4.0協議供貨),DN250-DN300 1.6(>1.6協議供貨)
介質溫度(℃):壓電式:-40~260,-40~320;電容式: -40~300, -40~400,-40~450(協議訂貨)
本體材料:1Cr18Ni9Ti,(其它材料協議供貨)
允許振動加速度:壓電式:0.2g;電容式:1.0~2.0g
精確度:±1%R,±1.5%R,±1FS;插入式:±2.5%R,±2.5%FS
范圍度:1:6~1:30
供電電壓:傳感器:+12V DC,+24V DC;變送器:+12V DC ,+24V DC;電池供電型:3.6V電池
輸出信號:方波脈沖(不包括電池供電型):高電平≥5V,低電平≤1V;電流:4~20mA
壓力損失系數:符合JB/T9249標準 Cd≤2.4
防爆標志:本安型:ExdⅡia CT2-CT5隔爆型:ExdⅡCT2-CT5
防護等級:普通型IP65 潛水型 IP68
環境條件:溫度-20℃~55℃,相對濕度5%~90%,大氣壓力86~106kPa
適用介質:氣體、液體、蒸汽(蒸汽流量計)
傳輸距離:三線制脈沖輸出型:≤300m,兩線制標準電流輸出型 (4~20mA):負載電阻≤750Ω
液化氣流量計儀表口徑的確定和安裝設計
儀表選型是儀表應用中非常重用的工作,儀表選型的正確與否將直接影響到儀表是否能夠正常運行.因此用戶和設計單位在選用本公司產品時,請仔細閱讀本節資料,認真核對流體的工藝參數并**可與我公司的銷售或技術支持部門聯系,以確保選型正確。
一.適用流量范圍和儀表口徑的確定
儀表口徑的選擇,根據流量范圍來確定。不同口徑渦街流量儀表的測量范圍是不一樣的。即使同一口徑流量表,用于不同介質時,它的測量范圍也是不一樣的。實際可測的流量范圍需要通過計算確定。
(一)參比條件下空氣及水的流量范圍,見表(二),參比條件如下:
1.氣體(氣體流量計):常溫常壓空氣,t=20℃,P=0.1MPa(絕壓),ρ=1.205 kg/m3,υ=15×10-6 m2/s。
2.液體:常溫水,t=20℃,ρ=998.2kg/m3,υ=1.006×10-6m2/s。
(二)確定流量范圍和儀表口徑的基本步驟:
1. 明確以下工作參數。
(1)被測介質的名稱、組份
(2)工作狀態的*小、常用、*大流量
(3)介質的*低、常用、*高壓力和溫度
(4)工作狀態下介質的粘度
2. 渦街流量儀表測量的是介質的工作狀態體積流量,因此應先根據工藝參數求出介質的工作狀態體積流量,相關公式如下:
(1)已知氣體標準狀態體積流量,可通過以下公式求出工況體積流量

(2)已知氣體標準狀態密度ρ,可通過以下公式求出工況密度

(3)已知質量流量Qm換算為體積流量Qv

式中:
Qv:介質在工況狀態下的體積流量(m3/h)(Qv=3600f/K K:儀表系數 )
Qo: 介質在標準狀態下的體積流量(Nm3/h)
Qm: 質量流量 (t/h)
ρ: 介質在工況狀態下的密度(kg/m3)
ρo:介質在標準狀態下的密度(kg/m3),常用氣體介質的標準狀態密度,見表(三)
P: 工況狀態表壓(MPa)
t: 工況狀態溫度(℃)
3.儀表下限流量的確定。渦街流量儀表的上限適用流量一般可不計算,渦街流量儀表口徑的選擇主要是對流量下限的計算。下限流量的計算應該滿足兩個條件:*小雷諾數不應低于界限雷諾數(Re=2×104);對于應力式渦街流量儀表在下限流量時產生的旋渦強度應大于傳感器旋渦強度的允許值(旋渦強度與升力ρv2 成比例關系)。這些條件可表示如下:
由密度決定的工況可測下限流量:

由運動粘度決定的線性下限流量:


式中:
Qρ:滿足旋渦強度要求的*小體積流量(m3/h)
ρ0:參比條件下介質的密度
Qυ:滿足*小雷諾數要求的*小線性體積流量(m3/h)
ρ:被測介質工況密度(kg/m3)
Q0: 參比條件下儀表的*小體積流量
(m3/h)
υ:工作狀態下介質的運動粘度(m2/s)
υo:參比條件下介質的運動粘度(m2/s)
通過公式(6)、(7)計算出Qρ和Qν。比較Qρ和Qν,確定流量儀表可測下限流量和線性下限流量:
Qυ≥Qρ:可測流量范圍為Qρ~Qmax , 線性流量范圍為Qυ~Qmax
Qυ<Qρ:可測流量范圍和線性流量范圍為
Qρ~Qmax
Qmax:渦街流量儀表的上限體積流量(m3/h)
4.儀表上限流量以表(二)中的上限流量為準.氣體的上限流速應該小于70m/s,液體的上限流速應該小于7m/s
5.當用戶測量的介質為蒸汽時,常采用的計量單位是質量流量,即:t/h或Kg/h。由于蒸汽(過熱蒸汽和飽和蒸汽)在不同溫度和壓力下的密度是不同的,因此蒸汽流量范圍的確定可由公式(8)進行計算得出

式中:
ρ: 蒸汽的密度(kg/m3)
ρ0:1.205kg/m3
Q蒸汽 :蒸汽質量流量(t/h)
6.計算壓力損失,檢測壓力損失對工藝管線是否有影響,公式(單位:Pa):
△p= CdρV2/2 公式(9)
式中:
ρ:工況介質密度(kg/m3)V:平均流速(m/s)
7.被測介質為液體時,為防止氣化和氣蝕,應使管道壓力符合以下要求:
p≥2.7△p+1.3p0 公式(10)
式中:
△p: 壓力損失(Pa)
p0:工作溫度下液體的飽和蒸汽壓(Pa絕壓)
Po:流體的蒸汽壓力 (Pa絕壓)
8.渦街流量計不適合測量高粘度液體。當計算出的可測流量下限不滿足設計工藝要求時,應該考慮選用其它類型流量計。
9.通過計算如果有兩種口徑都可滿足要求,為了提高測量效果、降低造價,應選用口徑較小的表。應該注意的是,盡可能使常用量處在流量范圍上限的1/2~2/3
△p:壓力損失(Pa) Cd:壓力損失系數
表(二) 參比條件下渦街流量傳感器工況流量范圍表

表(三) 常用氣體介質的標準狀態密度(0℃,絕壓P=0.1MPa)

(三)選型舉例:
例一:已知氣體壓力和溫度及標況下的流量時
某壓縮空氣,標況流量范圍為QN=1200-12000Nm3/h,壓力P=0.7Mpa(表壓),溫度t=30℃。試確定流量計口徑。
步驟一:計算壓縮空氣的工況體積流量
由公式(3):
工況使用下限體積流量為:
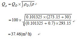
Qvmin=QN×0.101325×(273.15+t)/293.15/(P +0.1)
=1200×0.101325×(273.15+30)/293.15/(0.7 +0.1)
=157(m3/h)
工況使用流量上限為: Qvmax=1570(m3/h)
步驟二:根據使用工況流量范圍157-1570m3/h,查表(二),滿足下限流量條件的流量計為DN80 、DN100和DN125,考慮到上限流量1270m3/h及使用效果和經濟成本,初選DN100, DN100流量計的工況流量范圍是100-1700m3/h,接近使用流量范圍,初選DN100流量計,但應具體核算DN100流量計在該工況條件下的可測下限流量。核算DN100流量計在該工況條件下的可測下限流量:
由公式(4)及公式(6):

即,流量計在該工況條件下的可測下限流量是37.46m3/h,遠小于要求的工況下限流量157m3/h,確定選用DN100流量計。
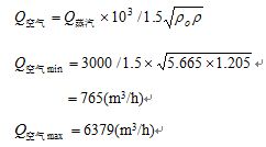
例二:已知蒸汽壓力和溫度及工況流量時測量介質為過熱蒸汽,蒸汽溫度為320℃,壓力為1.5MPa(絕壓),流量范圍為3t/h~25t/h, 試 確定流量計口徑。
步驟一:計算蒸汽的等效空氣參比條件下的體積流量范圍,經查附表(二),該狀態下蒸汽的密度為:5.665Kg/m3,由公式(8) :

步驟二:根據等效參比流量范圍765-6379m3/h,查表(二),比較適合該流量范圍為DN200口徑。