探究一體式電磁流量計在人造絲生產中的應用
點擊次數:3095 發布時間:2021-01-01 13:34:37
我廠年產3000噸人造長絲。原設計粘膠年時間運行,收到了較好的效果。計量為橢圓齒輪流量計。由于壓力損失過大。
一體式電磁流量計是利用電磁感應原理制成的在投產沒多久就取掉了。現我們選用了開封流量計。壓力損失小。不易堵塞。輸出信號儀表廠生產的Dmag型一體式電磁流量計二經一僅與流體平均流速有關。與粘度、密度、溫度等無關,測量精度高。現將我廠所用流量計介紹如下:
一、一體式電磁流量計的選型:粘膠粘度為4aP·5。比重為L12。班道過濾后的粘膠經DglOO的管道送人紡絲,該流量計安裝于過濾后的送膠管路上。
1.變送器口徑的選擇:
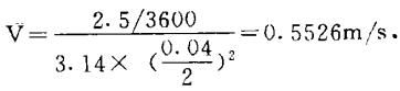
一體式電磁流量計要求流體流速在。5米/秒以上。我廠粘膠長絲年產量在3000噸左右,南北紡區粘膠瞬時流量為2.5m3h/。若選擇通徑DN為40毫米的流量計。平均流速滿足要求。

2.考慮粘膠具有一定腐蝕性和長期穩定運行的需要。襯里材料選擇聚四氟乙烯·電極材料選擇哈氏合金B。
3.選擇分離型,配數字型轉換器。
二、一體式電磁流量計的安裝:
1.未加旁路。流量計直接安裝于主管路上。
因傳感器部分主要由測量導管、電極、勵磁線圈、鐵芯等組成,該部分不易出故障。若接于旁路管上。粘膠在一定時間內會凝固。操作工每天需定時開啟閥1.會帶來:①粘膠計量不準確。②操作會更麻煩。
2.變送器在安裝時,傳感器上游側至少應有5倍管徑長度的直管段,傳感器下游側應有2倍管徑長度的直管段。直管段后*好為漸縮管,其圓錐角不應大于15。
3.為了提高整個系統的抗干擾能力。變送器與轉換器間需用屏蔽電纜連接,信號電纜兩邊的外露部分需保持*短。該電纜必須遠離動力電纜。
4.流量計測量導管的金屬管體和粘膠應同為地電位、接地系統的接地電阻應小于10n。
三、一體式電磁流量計的投運:

四、運行情況:
兩臺一體式電磁流量計已運行了一年時間,運轉良好。誤差在允許范圍以內。該數字轉換器具有瞬時流量顯示和累積流量顯示。不僅給總廠成本核算提供了一個準確的數據,也給脫泡間操作工帶來了很大的方便。流量計投人運行沒多久的一天中午,北紡的瞬時流量達到4.17m,h/。原計劃紡3個小時的粘膠.現1.5個小時就會紡完,有了該表的準確顯示。未造成紡絲斷頭的重大事故。
一體式電磁流量計顯示波動
一體式電磁流量計結構圖
一體式電磁流量計流量設置
一體式電磁流量計使用方法
一體化電磁管道流量計如何選型
一體式電磁流量計精度等級
一體式電磁流量計的優缺點
一體電磁流量計和分體式的區別
一體化電磁管道流量計型號規格
一體式智能電磁流量計測量原理
一體式電磁流量計安裝規范
一體式電磁流量計流量范圍
一體化電磁流量計如何校驗
一體式電磁流量計總量如何清零
一體式電磁流量計接線端子說明
一體式電磁流量計的工作原理,局限性,優缺點及如何使用
關于一體式電磁流量計的分類及區分其優缺點分析
關于一體式電磁流量計的常見故障原因分析與解決方案
一體式電磁流量計,管道電磁流量計
一體式電磁流量計,dn50電磁流量計
一體電磁流量計,dn50電磁流量計
一體式電磁流量計及投入式液位計在自來水處理中的應用分析
一體式電磁流量計,一體式不銹鋼電磁流量計
探究一體式電磁流量計在人造絲生產中的應用
一體式電磁流量計出口壓力異常原因分析及建議
一體電磁流量計遠程自動化控制系統的研究與應用
一體式電磁流量計是利用電磁感應原理制成的在投產沒多久就取掉了。現我們選用了開封流量計。壓力損失小。不易堵塞。輸出信號儀表廠生產的Dmag型一體式電磁流量計二經一僅與流體平均流速有關。與粘度、密度、溫度等無關,測量精度高。現將我廠所用流量計介紹如下:
一、一體式電磁流量計的選型:粘膠粘度為4aP·5。比重為L12。班道過濾后的粘膠經DglOO的管道送人紡絲,該流量計安裝于過濾后的送膠管路上。
1.變送器口徑的選擇:
一體式電磁流量計要求流體流速在。5米/秒以上。我廠粘膠長絲年產量在3000噸左右,南北紡區粘膠瞬時流量為2.5m3h/。若選擇通徑DN為40毫米的流量計。平均流速滿足要求。

2.考慮粘膠具有一定腐蝕性和長期穩定運行的需要。襯里材料選擇聚四氟乙烯·電極材料選擇哈氏合金B。
3.選擇分離型,配數字型轉換器。
二、一體式電磁流量計的安裝:
1.未加旁路。流量計直接安裝于主管路上。
因傳感器部分主要由測量導管、電極、勵磁線圈、鐵芯等組成,該部分不易出故障。若接于旁路管上。粘膠在一定時間內會凝固。操作工每天需定時開啟閥1.會帶來:①粘膠計量不準確。②操作會更麻煩。
2.變送器在安裝時,傳感器上游側至少應有5倍管徑長度的直管段,傳感器下游側應有2倍管徑長度的直管段。直管段后*好為漸縮管,其圓錐角不應大于15。
3.為了提高整個系統的抗干擾能力。變送器與轉換器間需用屏蔽電纜連接,信號電纜兩邊的外露部分需保持*短。該電纜必須遠離動力電纜。
4.流量計測量導管的金屬管體和粘膠應同為地電位、接地系統的接地電阻應小于10n。
三、一體式電磁流量計的投運:

四、運行情況:
兩臺一體式電磁流量計已運行了一年時間,運轉良好。誤差在允許范圍以內。該數字轉換器具有瞬時流量顯示和累積流量顯示。不僅給總廠成本核算提供了一個準確的數據,也給脫泡間操作工帶來了很大的方便。流量計投人運行沒多久的一天中午,北紡的瞬時流量達到4.17m,h/。原計劃紡3個小時的粘膠.現1.5個小時就會紡完,有了該表的準確顯示。未造成紡絲斷頭的重大事故。
下一篇:優化Modbus協議系統便捷高壓型電磁流量計的數據采集